| 일 | 월 | 화 | 수 | 목 | 금 | 토 |
|---|---|---|---|---|---|---|
| 1 | 2 | 3 | 4 | 5 | 6 | 7 |
| 8 | 9 | 10 | 11 | 12 | 13 | 14 |
| 15 | 16 | 17 | 18 | 19 | 20 | 21 |
| 22 | 23 | 24 | 25 | 26 | 27 | 28 |
| 29 | 30 | 31 |
Tags
- JPQL
- Spring
- 중간 장소 찾기
- cicd
- 중간 지점 찾기
- 모이삼
- GitHub Actions
- 객체지향 쿼리 언어
- Docker Layer
- 최범균
- 중간 지점 추천
- K3S
- 한국대학생it경영학회
- springboot
- 모임 장소 추천
- Container Registry
- 자바 ORM 표준 JPA 프로그래밍
- 약속 장소 추천
- 큐시즘
- 이펙티브자바
- Domain Driven Design
- 쿠버네티스
- java
- 불변객체
- kusitms
- ddd
- JPA
- Docker cache
- 도메인 주도 개발 시작하기
- 중간 장소 추천
Archives
- Today
- Total
코딩은 마라톤
[백준] 1789번 : 수들의 합 – JAVA [자바] 본문
[Silver V] 수들의 합 - 1789
성능 요약
메모리: 17732 KB, 시간: 208 ms
분류
그리디 알고리즘, 수학
문제 설명
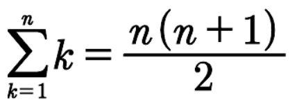
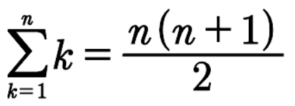
서로 다른 N개의 자연수의 합이 S라고 한다. S를 알 때, 자연수 N의 최댓값은 얼마일까?
입력
첫째 줄에 자연수 S(1 ≤ S ≤ 4,294,967,295)가 주어진다.
출력
첫째 줄에 자연수 N의 최댓값을 출력한다.

- 문제 풀이

- 자연수 s를 입력 받는다.
- 위의 식에서 n을 1부터 계속 1씩 증가시키면서 반복문을 수행한다.
- 만약 합이 입력 받은 s보다 커질 경우를 확인해야 한다. (작은 경우를 확인할 경우, 만약 191이 입력될 경우 출력은 19가 아닌 20이 n이 되기 때문이다.
- 따라서 나는 합이 s보다 커질 경우, n에 1을 뺀 값을 출력하고 반복문을 빠져나오도록 하였다.
- 코드
import java.util.*;
public class Main {
public static void main(String[] args) {
Scanner sc = new Scanner(System.in);
long s = sc.nextLong();
long n = 1;
while(true){
if (n * (n + 1) / 2 > s) {
System.out.println(n - 1);
break;
} else n++;
}
}
}'CS > 알고리즘' 카테고리의 다른 글
| [백준] 1715번 : 카드 정렬하기 – JAVA [자바] (0) | 2023.11.05 |
|---|---|
| [백준] 13305번 : 주유소 – JAVA [자바] (1) | 2023.10.16 |
| [백준] 2217번 : 로프 – JAVA [자바] (1) | 2023.10.14 |
| [백준] 1026번 : 보물 – JAVA [자바] (4) | 2023.10.13 |
| [백준] 1931번 : 회의실 배정 – JAVA [자바] (1) | 2023.10.12 |